Comunidad Joseph Luis Lagrange

Un rincon donde aprender sobre su vida y su trabajo

Usuario Contraseña

                                               "El lector no encontrará figuras en este trabajo. 
                                         Los métodos que he establecido no requieren construcciones,
                                         ni razonamientos geométricos o mecánicos: sólo operaciones algebraicas,
                                            sujetas a una regla de procedimiento regular y uniforme"

Joseph-Louis Lagrange, bautizado como Giuseppe Lodovico Lagrangia, también llamado Giuseppe Luigi Lagrangia o Lagrange (Turín, o bien José Luis de Lagrange, 25 de enero de 1736 - París, 10 de abril de 1813), fue un físico, matemático y astrónomo franco-italiano que después vivió en Prusia y Francia. Lagrange trabajó para Federico II de Prusia, en Berlín, durante veinte aƱos. Aportó avances trancendentales en múltiples ramas de las matemáticas, desarrolló la mecánica Lagrangiana y fue el autor de novedosos trabajos de astronomía. Tanto por la importancia como por el volumen de sus contribuciones científicas se le puede considerar uno de los físicos y matemáticos más destacados de la historia. Biografía completa

Busquemos en Google sobre él:

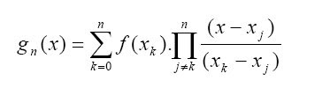
Metodo de interpolación de Lagrange.
Ahondamos en el metodo de interpolación de Lagrange mediante este video y la siguiente página que nos permitirá llevarla a cabo
Nuestro objetivo es encontrar una función polinómica que pase por esos n+1 puntos y que tengan el menor grado posible. Un polinomio que pase por varios puntos determinados se llama un polinomio de interpolación.
                 Prueba el uso de dicha interpolación